好 快 省
出国看病
获取国外20μg前列腺素注射jazh-CN药品价格,使用等信息,最快 24 小时回馈
20μg前列腺素注射jazh-CN
药品介绍
20μg前列腺素注射
创建或修订年
- 创建于2018年12月(第一版)
日本标准产品分类编号
- 87219
日本标准产品分类编号,等等。
- 改建结果公告年(最新)
- 1988年1月(注射专业立场)
- 功效或效力额外批准日期(最新)
- 2011年2月(注射pro -standin 20)
- 国际出生日期
- 1979年8月
医学分类名称
- Prostaglandin E 1准备
批准,等等
- 销售名称
- 20μg前列腺素注射
销售名称代码
- YJ(医疗监狱)代码
- 2190402D3064
批准 /许可号码
- 批准编号
- 22400AMX00134
- 商标
- 妓女注射20μg
药品价格标准日期
- 2012年6月
销售日期
- 2018年12月
储蓄,到期日期等
- 储蓄
- 阴影,室温存储
- 截止日期
- 4年(请参阅标签上显示的到期日期等)
法规类别
- 阳性药物
- 处方药)
- 注意 - 由医生的处方等处方。
作品
- 成分 /含量(在1个小瓶中)
- 它包含20μg的Al Pro体育场,作为Alpro Starseil Alphadex。
- 添加剂(在1个小瓶中)
- Martose水合50mg
特点
- 药物
- 注入式(小瓶)
- ph
- 4.0-6.0
(该产品5小瓶溶解在3 mL的生理盐溶液中) - 渗透比率
- 1.1-1.2
(将该产品溶解在5 mL的生理盐溶液中) - 特点
- 白块或粉末,冷冻的干产品
一般名称
- 注射alphadex
警告- 1。
- 当对动脉依赖性的先天性心脏病施用时,该药物将用于呼吸暂停,因此有必要在带有呼吸道管理设备的设施中对其进行管理。
- 2.通过诊断勃起障碍的诊断
- (1)
- 该药物的给药可能会延长4小时或更长时间或可持续的勃起(持续6个小时或更长时间的勃起),因此,如果勃起持续4小时或更长时间,则适当的治疗迅速。如果您不立即采取针对可持续勃起的措施,则可能会永久损害阴茎组织或勃起功能。
- (2)
- 使用这种药物诊断勃起功能障碍在诊断和治疗勃起功能障碍方面,使用该药物非常反对,因为这种药物扩展或可持续的勃起,心律不齐,短暂性低血压等。该药物的管理时间必须能够在紧急情况下做出反应。
|
限制(请勿对下一个患者进行管理)- 1。
- 严重心力衰竭,肺水肿(但不包括依赖动脉依赖的先天性心脏病)[心力衰竭和肺水肿。这是给出的
- 2。
- 出血(颅内出血,出血性眼病,消化道出血,血液疾病等)的患者[可能会促进出血。这是给出的
- 3。
- 孕妇或可能怀孕的妇女(请参阅“孕妇,妇产科,护理妇女等”的部分)
- 四个。
- 对该药物成分过敏的患者
|
功效或效果
- 1.在 - 阿里管理
- 慢性动脉阻塞(汉堡疾病,阻塞性动脉硬化)的肢体溃疡和静止疼痛的改善
- 2.插入式给药
- (1)
- 改善与周围血液循环障碍相关的主观症状,并恢复周围循环,神经和运动功能障碍
- (2)
- 血液循环重建后的血液流量维持
- (3)
- 慢性动脉阻塞(伯加病,阻塞性动脉硬化)的肢体溃疡和静止疼痛的改善,这在动脉施用中被确定为不合适
- (四)
- 在动脉依赖性先天性心脏病中开放动脉管
- 3.在阴茎海绵体内部
- 勃起功能障碍的诊断
用法和剂量
- 1.在 - 阿里管理
- 慢性动脉阻塞(汉堡疾病,阻塞性动脉硬化)的肢体溃疡和静止疼痛的改善
- 1)
- 将该产物溶解在5 mL月经盐溶液(Alme Staglin20μg)中,使用10-15μg(大约0.1至0.1至0.15 ng/kg/min),使用注射泵作为通常的成人日替代品。里面。
- 2)
- 根据症状的不同,它将适当地增加或减少在0.05至0.2 ng/kg/分钟之间。
- 2.插入式给药
- (1)
- 改善与周围血液循环障碍相关的主观症状,并恢复周围循环,神经和运动功能障碍
- (2)
- 血液循环重建后的血液流量维持
- (3)
- 慢性动脉阻塞(伯加病,阻塞性动脉硬化)的肢体溃疡和静止疼痛的改善,这在动脉施用中被确定为不合适
- 1)
- 通常,将2-3个小瓶(Al Pro体育场40-60μg)溶解在该产品的2-3个小瓶中的500 mL输注(5至10 ng/kg/min)中2-3个小瓶(Al Pro Stadium 40- 60μg)。
给药速度不是每1千克2小时的1.2μg。 - 2)
- 每天的次数为1-2次。
- 3)
- 由于症状而适当增加或减少。
- (4)动脉依赖性先天性心脏病中动脉管的开放式
- 通常,在静脉内给药以50至100 ng/kg/min的速度开始,用于alplusadil,根据症状适当地增加或减少,并以最低限制维持。
- 3.在阴茎海绵体内部
- 勃起功能障碍的诊断
- 将该产物溶解在1 mL月经盐溶液(Alme Staglin20μg)中,通常将20μg注入阴茎果皮体作为成人替代方案。
与使用和剂量有关的预防措施
- 当给依赖动脉的先天性心脏病时,必须充分观察到该观察结果,并且应仔细调整剂量。如果获得效果,请减轻体重并以最低量保持给药。 10 ng/kg/分钟可能有效地维持动脉管。
使用预防措施
谨慎的管理
(请小心地给下一个患者管理)
- 1。
- 心力衰竭的患者[有报道称可能会增加心力衰竭的趋势,因此请确保观察循环状态并仔细管理。这是给出的
- 2。
- 严重的糖尿病患者[可能会促进脆弱的血管出血,例如视网膜病变。这是给出的
- 3。
- 出血趋势患者[可能会促进出血。这是给出的
- 四个。
- 胃溃疡和患有病史的患者的并发症[可能会促进出血。这是给出的
- 五。
- 患有抗hematops,血栓溶解剂和抗血液的患者(请参阅“相互作用”部分)
- 6。
- 在动物实验(兔子)中,已经报道了青光眼和高眼压的患者。 1)
- 7。
- 肾衰竭的患者[可能导致肾衰竭。这是给出的
- 8。
- 老年人(请参阅有关“重要基本预防措施”的部分)
- 9。
- 当通过勃起功能障碍的诊断诊断时,存在阴茎结构缺陷的风险(屈曲,阴茎纤维化,Peyronie病等)[阴茎疼痛等)。这是给出的
- 十。
- 当通过诊断勃起功能障碍诊断时,可能是可持续勃起的疾病患者(类似镰状血细胞,多发性骨髓瘤,白血病等)的患者
重要的基本预防措施
- ・振动疾病,在重建后保持血流,慢性动脉阻塞
- (1)
- 请注意,这种药物治疗是有症状的治疗方法,可以在给药后复发。
- (2)
- 由于可能会出现心力衰竭,肺水肿和胸腔积液,因此请注意输注量并观察循环状态(血压,脉搏等)。另外,如果出现症状,胸部痛苦,呼吸困难,水肿等症状,请停止使用该药物并采取适当的措施。在观察患者状况的同时,应仔细管理老年人,因为诸如心脏功能之类的生理功能会降低。
- (3)
- 当改善慢性动脉阻塞的肢体溃疡时,在静脉内给药时,治疗作用略低于静脉内给药,因此患者(高级别的血管阻塞等,确定在动脉中是不可适应的(高水平的血液)船只。)或确定提高预期治疗效果的患者。
- ・动脉管依赖性先天性心脏病
- (1)
- 请注意,用这种药物治疗是一种有症状的治疗方法,取消管理后可能会使症状恶化。
- (2)
- 即使继续使用该药物,如果没有改善该药物,则应适当地进行急诊手术。
- (3)
- 该药物的高剂量施用可能会增加副作用表达速率,因此将其以最低量使用。
- (四)
- 据报道,该药物的长期给药增厚,多发和脱毛在长管中,因此应充分观察并避免长期给药。
相互作用
合并用途的注释
(请注意联合使用)
| 毒品名称,等等 | 临床症状 /度量方法 | 机械 /危险因素 |
抗 - 甲状腺激素药物阿司匹林丘比丁sirostazole 血栓溶解剂尿激酶 分析性血藻素 | 使用这些药物可能会增加出血趋势。 请小心,例如进行足够的观察并调整剂量。 | 为了抑制血小板僵硬,该药物可以使用具有相似作用的药物来增加作用。 |
副作用
概述表达状态,副作用
- <in -artery管理>
- 在465例(47.3%)中,有220例(47.3%)在临床试验中受到副作用,并在批准时进行了销售后的调查,发现408个副作用(包括异常的临床测试值)。主要的是注射部位的145(31.2%)和肿胀,115(24.7%)的痛苦和疼痛(24.7%),57个发红(12.3%)(12.3%),51个热量和发烧(11.0%)和其他比注射部位。然后是11个发烧(2.4%)。 (截至1982年10月,副作用频率报告的结果)
- <内部静脉给药>
- ・振动疾病,在重建后保持血流,慢性动脉阻塞
- 在2200例(10.0%)中的221例(10.0%)中发现了318个副作用(包括异常的临床测试值),这些副作用在临床试验中受到副作用,并在批准时进行了销售后的调查。主要患者是注射部位的77例血管疼痛(3.5%),13例(0.6%)(0.6%),16次疼痛(0.7%),97个红色转弯(4.4%),恶心和其他注射部位呕吐。(0.7%),头痛和头部重量11(0.5%),等。 (在重新检查结束时)
- ・动脉管依赖性先天性心脏病
- 在批准和售后调查的调查中,发现呼吸暂停为23.0%(53/230)。除呼吸暂停攻击外,受副作用的343例(21.9%)中有75例具有114个副作用(包括异常的临床测试值),主要副作用为31(9.0%(9.0%)(9.0%)(9.0%) 。),9例(2.6%),6例(1.7%),4例(1.2%)的速度(1.2%),等。 (2007年9月的批准和特别调查报告结果)
- <阴茎海绵体内部>
- 至于目标疾病,尚未进行副作用频率的调查,因此我们提到了来自海外,家庭和海外文学等的自发报告。 (在批准时)
严重的副作用
- 1.休克,过敏反应:
- 可能会发生冲击和过敏反应(两者都是未知的) ,因此应充分观察到它们,如果出现血压,意识障碍,呼吸困难,皮疹等。
- 2.心力衰竭,肺水肿:
- 由于可能会出现心力衰竭,肺水肿和胸腔积液(两者都是未知的),因此可以充分观察它们,请停止给药。 (请参阅有关“重要基本预防措施”的部分)
- 3.脑出血,消化道出血:
- 可能会出现脑出血(未知频率* )和胃肠道出血(0.05%),因此,如果发现异常,请确保观察并停止给药。
- 4.身体梗塞:
- 由于可能会出现心肌梗塞(频率未知* ),因此必须进行足够的观察,并且如果胸痛,胸部压缩,心电图等,则应停止管理并应进行适当的治疗。
- 5. Wramanulocyposis,白细胞减少:
- 可能会发生Agryganulocyposis和白细胞减少(均经常 *未知* ),因此请务必观察它们,如果发现异常,请停止给药并采取适当的措施。
- 6.肝功能障碍,黄疸:
- 肝功能障碍和黄疸(都未知)可能会在AST(GOT),ALT(GPT),γ -GTP等中发生,因此,如果您观察到您并确认异常。这种药物。
- 7.间质性肺炎:
- 由于可能会出现间质性肺炎(频率未知* ),因此观察它是适当的,如果出现发烧,咳嗽,呼吸困难等,则停用了施用,并且肾上腺皮质激素药物的给药是合适的。进行治疗。
- 8.收购:
- 如果对动脉依赖性的先天性心脏病施用,则可能会出现呼吸暂停(23.0%),因此请务必观察。
在表达的情况下,适当的治疗方法,例如在皮肤上安装呼吸机和刺激。
请注意)在依赖动脉依赖性的先天性心脏病时,如果表达了诸如上述副作用,请观察到患者的状况,考虑到继续使用该药物并采取适当措施。 。 - 9.可持续勃起
- 当通过勃起功能障碍的诊断诊断时,可能会发生持久性勃起(频率未知* ),因此可以充分观察到它,如果表达了α刺激剂,用生理盐水进行α刺激物,除血和清洁等,则应采取适当的措施。 。
- *:未知频率基于自发报告或文献报告。
另一个副作用
<in -artery管理>
| 小于10-35% | 小于3% | 未知频率* |
| 注射部分 | 疼痛,肿胀,发红,发烧 | 弱点,所以发痒 | |
| 其他的 | | 头痛,发烧,呼吸 | 血浆蛋白分裂的波动 |
<内部静脉给药>
・振动疾病,在重建后保持血流,慢性动脉阻塞
| 0.5-5%小于0.5至5% | 小于0.5% | 未知频率* |
| 高敏注意) | | 看起来像瘙痒 | 皮疹,荨麻疹 |
| 心血管) | | 胸部勒死,血压下降,面部洪水,呼吸困难,红色 | |
| 出血趋势) | | | 定影出血,皮下出血 |
| 注射部分 | 血疼,静脉炎,疼痛,发红 | 肿胀,所以发痒 | |
| 呼吸器官 | | | 咳嗽,哮喘) |
| 消化器官 | 不好的头脑 /呕吐 | 胃不适,厌食,腹泻,腹痛 | |
| 精神科 | | 发烧,头晕 | 发冷 |
| 肝 | | ast(got),alt(gpt),等。 | |
| 肾脏笔记) | | | 肾衰竭 |
| 血液迹象) | | | 血小板减少,贫血 |
| 其他的 | 头痛 /头部体重 | 热感觉,水肿,乳房沉淀,肢体疼痛(包括增强) | 关节疼痛,麻木,CRP上升,低钠血症 |
注意):如果表达出现,请采取适当的措施,例如停用管理。
- 动脉依赖性先天性心脏病<br>如果该药物的给药表达副作用,请在观察患者病情的同时采取适当的措施。
| 小于1-10% | 小于1% | 未知频率* |
| 心血管 | 心动过速,水肿,发红 | 低血压,心动过缓 | 肺动脉膜的闪电 |
| 中枢神经系统 | 发烧,多重呼吸 | | 抽搐,震颤 |
| 注射部分 | | | 血疼,静脉炎,疼痛,发红,肿胀,因此发痒 |
| 其他的 | 低钠血症,低血压,CRP升高 | 胃粘膜增厚,腹泻,骨肥大,低钾血症,口腔和气道分泌增加,出血趋势,酸中毒 | 脱毛,多发头发,腹水 |
<阴茎海绵体内部>
如果该药物的给药表达副作用,请在观察患者病情的同时采取适当的措施。
| 未知频率* |
| 高敏性 | 皮疹,荨麻疹 |
| 尿 /生殖器 | 勃起延伸,阴茎疼痛,阴茎肿胀 |
| 注射部分 | 疼痛,血肿,出血,肿胀,燃烧,发红,因此发痒 |
| 心血管 | 低血压,胸部勒死,发红 |
| 消化器官 | 顽皮,呕吐,腹痛 |
| 其他的 | 头晕,发烧,头痛,发冷 |
- *:未知频率基于自发报告或文献报告。
老年人的管理
- 通常,重要的是要注意老年人,因为生理功能降低了。
管理孕妇,妇产科妇女等。
- 不要为可能怀孕的孕妇或妇女管理。 [ALPL体育场具有子宫承包商效应。 2)
给儿童的管理等
- 除先天性心脏病以外,尚未确定低出生体重,新生儿,婴儿或儿童的安全性(使用的经验较少)。
适用的预防措施
- 1.管理速度:
- 如果由于该药物的给药而出现副作用,则应减慢给药速度或停止给药。
- 2.准备方法:
- 使用注射器泵时,请注意不要混合注射器中的气泡。
其他预防措施
- 1。
- 据报道,由于该药物的给药,已经看到了脑梗塞。
- 2。
- 尽管没有适应它,但据报道,PGE 1格式多次给药以治疗勃起功能障碍。
- 3。
- 尽管没有进行调整,但据报道,在使用PGE 1格式与勃起功能障碍治疗剂(如木瓜蛋白)相结合的情况下,勃起或可持续勃起的扩展已出现,以治疗勃起功能障碍。
药代动力学
- <内部静脉给药>
- 在三个心脏导管的3 h-pge 1 0.03 ng/kg/min的实验中,总血液代谢清除率为2,686±654L/day/ m2 ,肺中的代谢为67.8.8.8.8.8.8.8.8.8.8.8.8.8.8.88 e ±6.8%。换句话说,在个人有序的PGE 1的情况下,认为三分之一的身体在肺中循环,而没有完全代谢。 3)
- <阴茎海绵体内部>
- (1)
- 在为勃起功能障碍的患者使用PGE 120μg之后,PGE 1和代谢物15-酮13的浓度,14二二二氢-PGE 1浓度随着Culp Spong而增加,但迅速降低。四)
- (2)
- 在为勃起功能障碍的患者使用PGE 120μg之后,PGE 1浓度在外周血后4.8分钟达到峰值,但迅速减少并减少到60分钟内给药。五)
- (参考)吸收,分布,代谢,排泄动物[大鼠]
- 3小时在一个实验中,将PGE 1.14 C标志CD施用到动脉或静脉中的动脉或静脉中,PGE 1血液浓度均显示出两种兼容性,并在6分钟内迅速从血液中消失。
静脉内部给药后5分钟,主要器官中的第1 pge 1,肺部有12%,肾脏和25%的肝脏,在给药后24小时内,尿液中有30-40%的剂量为25-30%。在粪便中排出。目前,主要的大都市材料为8- [(1 r ,2 r ,5 r )-2-(2-羧基1-1-基)-5-羟基-3-氧ccyocyclopentyl] -6-氧气辛酸。另一方面,CD在尿液中以90%至100%的尿液中排泄,而无需接受新陈代谢。在连续7个连续的静脉中,不允许在PGE 1和CD中的每个器官中积累。 6)
临床结果
- <in -artery管理>
- (1)
- 对患有慢性动脉阻塞的患者进行了双盲试验测试,并且已经识别出该药物的治疗作用。 7)
- (2)
- 在161次临床试验中,包括双盲测试,它显示了肢体效率的67.5%,减少了肢体的感冒,减轻了休息的疼痛,愈合或减少溃疡。 8)
- <内部静脉给药>
- (1)慢性动脉阻塞
- 在196个慢性动脉阻塞中,四肢缺血性溃疡,缺血性溃疡的改善速度为64.3%,静止疼痛的速度为78.1%。 9)
- (2)振动疾病
- 1)
- 对患有振动疾病的患者进行了双重比较测试,并且已经识别出该药物的治疗效果。十)
- 2)
- 在266次临床试验中,包括双重比较检查,主观症状的改善以及周围循环,神经和运动功能障碍的恢复,表明效率为57.5%。 11)
- (3)重建血液循环后的辅助治疗
- 有52例空中动脉重建患者,在术后7个月后出院时,血管血管的血管开放为91%,在7个月后出院时为83%。 12)
- (4)依赖动脉管道的先天性心脏病
- 1)
- 据报道,在国内文件中,它对依赖动脉依赖的先天性心脏病患者有效。 13)
- 2)
- 为了响应运动管在动脉依赖性的先天性心脏病中开放,即使在10 ng/kg/min的维持中,它也可能有效。 13,14)
- <阴茎海绵体内部>
- 勃起功能障碍的诊断
- 据报道,海外文献据报道,勃起功能障碍患者的勃起反应诊断很有用。 15)
药物
- 1.作用机理
- PGE 1具有血管平滑肌松弛效果,增加了血液流动,并具有血小板凝聚力的抑制作用,并且在慢性动脉阻塞,振动疾病和血液循环重建的时间内被识别。 PGE 1具有动脉管的动脉膨胀,并且被证明可有效在动脉依赖性的先天性心脏病中静ate型管的开放。
为了诊断勃起功能障碍,已经认识到阴茎海绵体平滑肌肉放松。 - 2.药物作用
- (1)对血管平滑肌肉的影响(对血流的作用)
- 兔子去除的血管平滑肌PGE 1在厚血管(例如主动脉)中收缩,在诸如肠动脉等薄血管中的低剂量(PGE 1 / CD为10-7至5× 10-6 g / ml)显示还原和高剂量(PGE 1 /cd为PGE 1为10-5 g /ml或更多)(体外)。 2)
狗直接放松血管平滑肌,增加了依靠剂量的血液流量,但由于灌注压力降低(体内),血液流量的增加减少了。 16) - 1)内部给药
- 1。
- 在股动脉的一次时间内给药,允许将HOP血流量取决于剂量(PGE 1和CD为PGE 1,10-6至10 2 2 Ng/kg)。另外,观察到剂量(PGE 1 /CD为10-1至7 ng/kg/min)的血液流量为PGE 1和CD为PGE 1 (狗)(狗)(狗)。 17)

- 2。
- 观察到后肢的皮肤和肌肉血流增加(DOG 1,PGE 1和CD为1至30 ng/kg,如PGE 1 )。 18)
- 3。
- 血流的增加不受阿特罗蛋白,原丙醇,二苯胺等的影响,也不受交感神经节切除(DOG)的影响。 18)
- 四个。
- 观察到慢性动脉阻塞患者的内部胫骨肌肉血流(PGE 1. 0.1 ng/kg/min,CD为PGE 1 )。 19)
- 2)内部给药
- 1。
- 越来越多的股血流量的增加取决于剂量(PGE 1和CD为PGE 1为PGE 1 )。对于小于100 ng/kg/min,血压下降在10 mmHg(狗)的范围内。 20)

- 2。
- 它通过持续性(50-200 ng/kg/min)用PGE 1和CD作为PGE 1抑制了交感神经刺激(50-200 ng/kg/min)的皮肤血流的减少。 20)
- 3。
- 通过持续的顺序观察到,已经观察到慢性动脉阻塞患者的刺激(PGE 1的5-8 ng/kg/min)观察到。 21)
- (2)血小板旋转控制动作
- 1)
- PGE 1抑制各种药物的人血小板聚集。
PGE 1和CD的50%的ADP,长凝结和胶原蛋白分别为19、3、61 ng/ml(体外)。 18) - 2)
- 内部给药(PGE 1 /CD为0.1至1.0 ng/kg/min),可以抑制周围静脉静脉静脉血液中的静脉炎。 22)
- 3)
- 允许静脉内给药(PGE 1 /CD为PGE 1 /cd为5至10 ng/kg/min),以抑制慢性阻塞性动脉疾病患者的血小板聚集。 23)
- (3)动脉管延伸
- 1)
- 对于新生儿和兔子的大鼠,PGE 1分别通过200至1,000μg/kg和1,000μg/kg具有壮观的管道扩张效应。 24)
- 2)
- 大鼠新生儿的运动员扩张效果通过1至1,000μg/kg的PGE 1观察到。二十五)
- (4)阴茎库瑟(Couthern)成本平滑肌肉放松动作
- 1)
- PGE 1减少了由于去除人雷肾上腺素和PGF2α的收缩,用于去除的阴茎托列海绵体和阴茎动脉标本(体外)。 26)
- 2)
- PGE 12.0μg /ml剂量识别出人类去除的阴茎棉标本(体外)。 27)
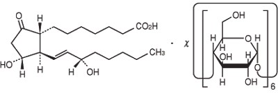
有关活性成分的物理和化学知识
- 通用名称
- Alprostadil Alfadex
- 化学名称
- 7- {(1 r ,2 r ,3 r )-3-羟基-2- [(1 e ,3 s )-3-羟基cont-1-en-1--en-1-yl] -5-氧Cycococyclopentyl} heptanoic-α -clodextrin
- 分子
- C 20 H 34 O 5 / χC36 H 60 O 30
- 分子量
- 354.48(作为Al Pro Stadium)
- 结构公式

- 特点
- 这是白色粉末。
很容易溶于水,几乎不溶于乙醇(95),乙酸乙酯或二乙醚。
它是吸湿性的。 - 熔点
- 114-118°C(作为Alpl Stadium)
包装
- 注射20μg :10个小瓶
主要文献和文档请求目的地
主要文献
- 1)
- 清型TSET AL。
- 2)
- Akiyoshi Kawasaki等人:Applied Pharmaceuticals,17:859,1979
- 3)
- Golub M.et Al。:J.Clin.Invest。,56:1404,1975
- 四)
- Ahlen H.等人:J.Urol.151:1227,1994
- 五)
- CawelloW。等人:J.Urol。,158:1403,1997
- 6)
- Miyamoto San等:现代医疗,10:589,1978
- 7)
- Shukichi Sakaguchi等人:Vasa,7:263,1978
- 8)
- Marloishi Pharmaceuticals:室内给药<慢性动脉阻塞>临床性能聚集(在房屋材料中)
- 9)
- Marloishi Pharmaceutical:内部调整<慢性动脉阻塞性>临床结果(在 - 公司材料中)
- 十)
- Yuki Abishi等:现代医疗,13:839,1981
- 11)
- Marloishi Pharmaceutical:内部静脉给药<振动疾病>临床性能聚集(在房屋材料中)
- 12)
- Tatsuzo Tanabe:手术,42:152,1980
- 13)
- Tsutomu Sachi等:日本儿科心脏病学会,20:663,2004
- 14)
- Kiyoshi Ogawa等:日本儿科学会,109:990,2005
- 15)
- Linet Oi等人:Clin.Investig.72:139,1994
- 16)
- Akio Nishimura等人:当代医疗服务,11:1491,1979
- 17)
- Mishima Yoshio:代谢,12:1727,1975
- 18)
- Akiyoshi Kawasaki等人:Applied Pharmaceuticals,17:1043,1979
- 19)
- Eihiko Shionoya等人:手术治疗,34:213,1976
- 20)
- Tadao Okegawa等人:现代医疗保健,13:2132,1981
- 21)
- Hiroki Honma等人:当代医疗服务,13:445,1981
- 22)
- Nishijima Hayami:当代医学,9:195,1977
- 23)
- Hideyuki Harada等人:手术,44:1069,1982
- 24)
- Sharpe Glet Al。:Prostaglandins,9:703,1975
- 二十五)
- Kazuo Kadama等:日本学会的学会,21:396,1985
- 26)
- Hedlund H.等人:J.Urol。,134:1245,1985
- 27)
- Tamura M.等人:Int.J.Impoten.Res。,2(Suppl.1):141,1990
文学要求
- 请在下面请求主文档中描述的内部材料。
大理石制药有限公司学术信息部 - 2-4-2 Imazu,Tsurumi-ku,大阪538-0042
- 电话0120-014-561
制造商等的姓名或名称和地址等。
- 制造和分销商
- 大理石制药有限公司
- 2-4-2 Imazu,大阪Tsurumi-ku